★ フレキシブル薄膜太陽電池の作製技術

 III-V族多接合太陽電池は、一般的にGaAsやInPなどの半導体単結晶基板(ウェハ)上にエピタキシャル成長によって製膜されます。

 半導体基板とエピタキシャル成長層(エピ層)は原子レベルで一体化しているため、デバイスとして用いる場合には通常基板ごと任意の形状に切出して使用されます。しかし、特別な方法を用いると、基板からエピ層(=デバイス層)を取り外すことが可能になります。

 宮下研では、基板からエピ層を分離可能な技術の研究開発を行っています。デバイス層に注目すると、フレキシブルな太陽電池シートなどへ応用することができます。また、基板側に注目すると、次の結晶成長に何度も再利用することで、デバイスの製造コストの大部分を占める基板コストの削減が可能となるため、工業的にも期待の大きい技術といえます。

・化学的剥離手法:エピタキシャルリフトオフ法(ELO法)

 半導体の種類が異なると、化学薬品に対する溶解のし易さに差異が見られます。この特徴を活かした選択エッチング(狙った材料だけを溶解する技術)を応用し、基板からデバイス層を剥離する手法は、エピタキシャルリフトオフ法と呼ばれています。
ELOによるデバイス層剥離イメージ ELOにより作製したフレキシブル太陽電池シート

・物理的剥離手法:スポーリング法

 半導体ウエハなどの表面が強い引張り応力を有する層で被覆されると、半導体の表層が一定の厚さで剥がれる現象が見られます。これはスポーリング現象と呼ばれています。この現象を制御することによって、基板から半導体デバイス層を分離することができます。
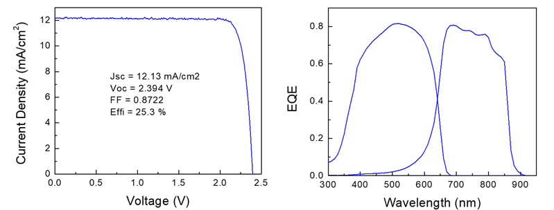
スポーリング法を用い試作したフレキシブル太陽電池 スポーリング法で試作したInGaP/GaAs 2接合太陽電池の発電特性